0:00
/
0:00
Transcript

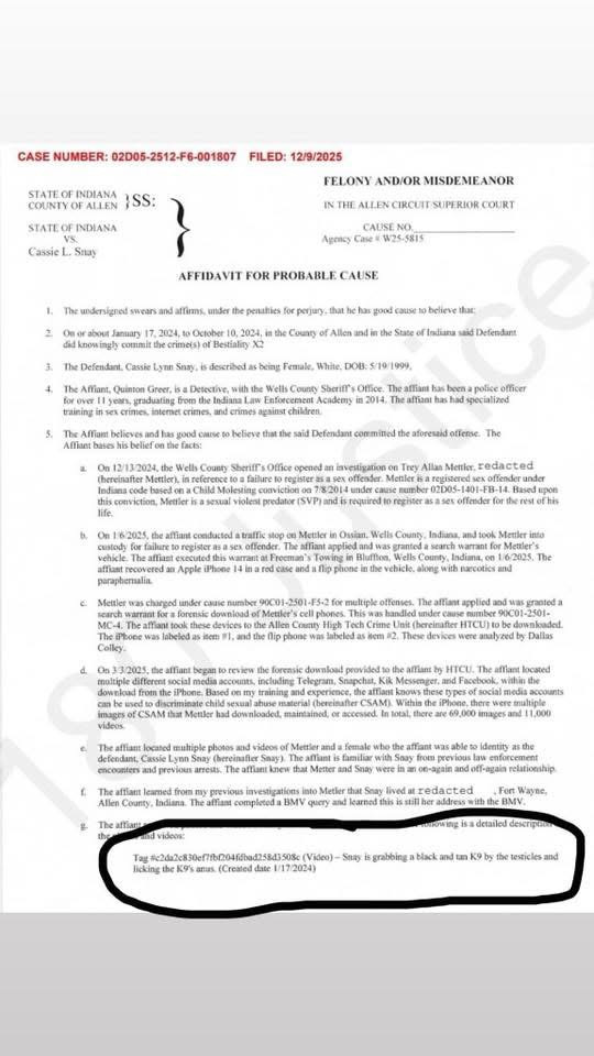
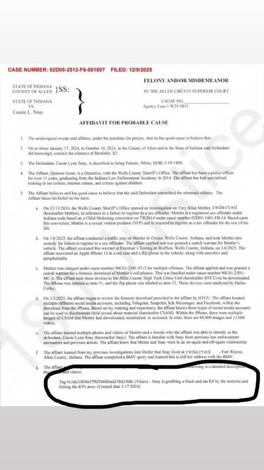
Cassie Lynn Snay | Fort Wayne

Charges:

Bestiality.

Cassie is charged with two counts of bestiality after images and videos were found of her performing sex acts with her two dogs. An excerpt from the probable cause affidavit states:

“Snay is grabbing a black and tan K9 by the testicles and licking the K9’s anus.” 🤢

Discussion about this video

User's avatar

Ready for more?